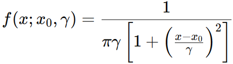
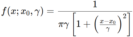
Cauchy Distribution는 확률 분포 중 하나로 다음과 같은 확률 밀도 함수를 가집니다.

$x_0$: location parameter이며 분포의 중앙값에 해당합니다.
$\gamma > 0$ : scale parameter이며 분포의 폭을 결정합니다.
이 분포는 Cauchy Function이라고도 합니다.
예시

파란색 곡선 : $x_0 = 2$, $\gamma = 1.5$인 일반적인 Cauchy 분포입니다. 위치 $x_0 = 2$를 기준으로 대칭이고 $\gamma = 1.5$로 인해 폭이 상대적으로 넓습니다.
빨간색 곡선 : $x_0 = 0$, $\gamma = 1$인 표준 Cauchy 분포(Standard Cauchy Distribution)입니다. 위치 $x_0 = 0$를 기준으로 대칭이며 $\gamma = 1$로 인해 폭이 더 좁습니다.
주요 특징
1. 평균과 분산이 정의되지 않습니다. $x_0$는 평균이 아니라 median과 mode입니다. $\gamma$ 는 분산이 아니라 scale을 나타냅니다. $x_0$와 $\gamma$를 평균, 분산으로 두었을 때, 수학적으로 적분값이 수렴되지 않고 발산합니다.

평균을 정의할 수 없기 때문에 분산도 정의할 수 없습니다.
2. 꼬리가 매우 두꺼워서 극단적인 값(outlier)에 민감한 분포를 가집니다.
비교 정리
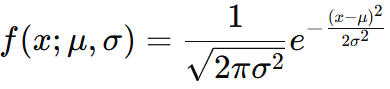
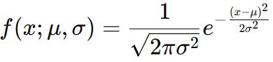
흔히 많이 쓰는 아래 정규분포(Normal Distribution)에서는 양끝단의 꼬리가 얇아서 outlier가 거의 발생하지 않습니다.


정규분포는 중심 극한정리로 일반적인 자연현상에서 찾을 수 있는 확률 분포입니다.
Cauchy분포는 꼬리가 두꺼워서 outlier가 많은 데이터를 모델링 할 때 쓰는 확률 분포입니다.
출처 : link
'Terminology' 카테고리의 다른 글
| [개념 정리] Cheirality Condition / Cheirality Constraint (0) | 2025.01.06 |
|---|---|
| [개념 정리] Plücker coordinates (플뤼커 좌표계) (1) | 2025.01.01 |
| [개념 정리] Material Point Method (MPM) : 물리 시뮬레이션 기법 (0) | 2024.06.29 |
| [개념 정리] 가우스-뉴턴 (Gauss-Newton) 최적화 기법 (0) | 2024.05.15 |
| [개념 정리] Levenberg-Marquardt 알고리즘 : 최적화 기법 (0) | 2024.04.12 |
댓글