3차원상의 직선을 표현하는 방법중에 하나입니다.
일반적으로 '2개 점의 위치'로 표현하거나 '점의 위치'와 '방향 벡터'로 표현하지만,
Plucker coordinates에서는 '방향 벡터'와 '모멘트 벡터'로 표현합니다. (그림 출처 : link)

'방향벡터'는 점 x에서 y로의 벡터 d = y - x로 계산 할 수 있습니다.
'모멘트 벡터'는 점 x와 y의 외적 m = x $\times$ y으로 계산하며, 이 벡터는 원점(=m의 시작점), x, y가 포함된 평면에 수직이게 됩니다. 또한 위에 표시된 초록색 삼각형의 면적이 '모멘트 벡터'의 크기가 되는 성질을 가집니다.
최종적으로 Plucker coordinates로 표현된 직선은 아래와 같이 6차원으로 표기됩니다.

예시
Two Points Representation → Plücker Coordinates
x = (2,3,7), y = (2,1,0) 일 때,
방향 벡터는 d=y−x=(0,−2,−7),
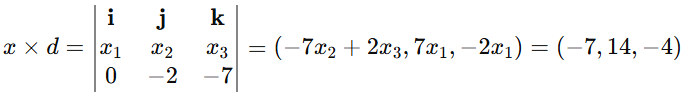
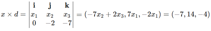
모멘트 벡터는 m = x $\times$ y 이며, 이를 계산하면

따라서
Plücker Coordinates → Two Points Representation
$(d:m)=(0:−2:−7:−7:14:−4)$
: 방향 벡터
: 모멘트 벡터
이용해 x를 찾습니다. x는 0이 아닌 임의의 점 $(x_1,x_2,x_3)$으로 설정합니다.

위 조건을 풀면, 아래 방정식이 계산되고,

최종적으로 x = (2,3,7)이 됩니다. y는 y = x + d 를 사용해 계산합니다.

x = (2,3,7)이고 y = (2,1,0) 이됩니다.
'Terminology' 카테고리의 다른 글
| [개념 정리] Cauchy Distribution (코시 분포) (3) | 2025.01.07 |
|---|---|
| [개념 정리] Cheirality Condition / Cheirality Constraint (0) | 2025.01.06 |
| [개념 정리] Material Point Method (MPM) : 물리 시뮬레이션 기법 (0) | 2024.06.29 |
| [개념 정리] 가우스-뉴턴 (Gauss-Newton) 최적화 기법 (0) | 2024.05.15 |
| [개념 정리] Levenberg-Marquardt 알고리즘 : 최적화 기법 (0) | 2024.04.12 |
댓글